ca88官方唯一网站
官网首页
走进ca88官方唯一网站
≡
董事长致辞
ca88官方唯一网站简介
生长历程
ca88官方唯一网站文化
集团声誉
集团成员
员工风范
新闻通告
≡
集团动态
集团刊物
产品中心
≡
医药工业
动保工业
科技立异
≡
科研平台
手艺协作
科研效果
可一连生长
≡
绿色生长
集团投资
社会责任
≡
慈善公益
清静生产
投资者关系
≡
暂时通告
按期报告
投资者互动
加入ca88官方唯一网站
≡
人才理念
薪酬福利
招聘信息
联系ca88官方唯一网站
ca88官方唯一网站供应商门户
English
走进ca88官方唯一网站
董事长致辞
ca88官方唯一网站简介
生长历程
ca88官方唯一网站文化
集团声誉
集团成员
员工风范
新闻通告
集团动态
集团刊物
产品中心
医药工业
动保工业
科技立异
科研平台
手艺协作
科研效果
可一连生长
绿色生长
集团投资
社会责任
慈善公益
清静生产
投资者关系
暂时通告
按期报告
投资者互动
加入ca88官方唯一网站
人才理念
薪酬福利
招聘信息
联系ca88官方唯一网站
ca88官方唯一网站供应商门户
EN
目今位置:产品中心
guobang
产品中心
立人立国 兴业兴邦
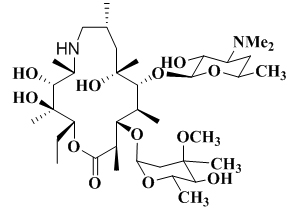
二氢高红霉素
中文名称:二氢高红霉素
英文名称:Azaerythromycin
CAS No.:76801-85-9
分子式:C
37
H
70
N
2
O
12
包装规格:凭证需求定制
【
返回主目录
】
关联产品
名称
审查详细
硼氢化钠
审查详细
硼氢化钾
审查详细
氢化钠
审查详细
环丙胺
审查详细
N-甲基哌嗪
审查详细
N-乙基哌嗪
审查详细
硼酸三甲酯
审查详细
四氢吡咯
审查详细
加米胺
审查详细
红霉素A(E)肟
审查详细
环丙羧酸
审查详细
11条纪录 第1页
跳转至
页
走进ca88官方唯一网站
董事长致辞
ca88官方唯一网站简介
生长历程
ca88官方唯一网站文化
集团声誉
集团成员
员工风范
新闻通告
集团动态
集团刊物
产品中心
医药工业
动保工业
科技立异
科研平台
手艺协作
科研效果
可一连生长
绿色生长
集团投资
社会责任
慈善公益
清静生产
投资者关系
暂时通告
按期报告
投资者互动
加入ca88官方唯一网站
人才理念
薪酬福利
招聘信息
联系ca88官方唯一网站
联系ca88官方唯一网站
手机官网
微信关注
ca88官方唯一网站 版权所有(C)2020 网络支持 中国化工网 全球化工网 生意宝 网盛建站
著作权声明
浙公网安备 33062402000395 浙ICP备08011652号-2
网站地图